根据《南丰县2021年秋季城区公办幼儿园招生工作方案》要求,按照招生工作安排,经过审核,县第二幼儿园大班符合条件人数131人,小班符合条件人数191人(不含4个双胞胎),均未超过幼儿园招生计划数,直接录取,其中小班空余45个学位将从未派到学位、自愿到第二幼儿园就读的幼儿中继续通过电脑派位产生,直至招生计划满额为止。
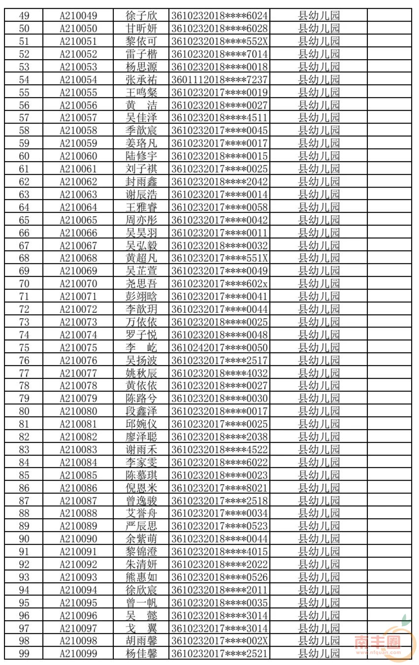
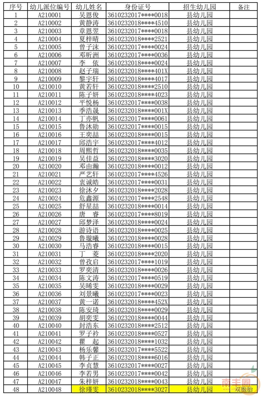
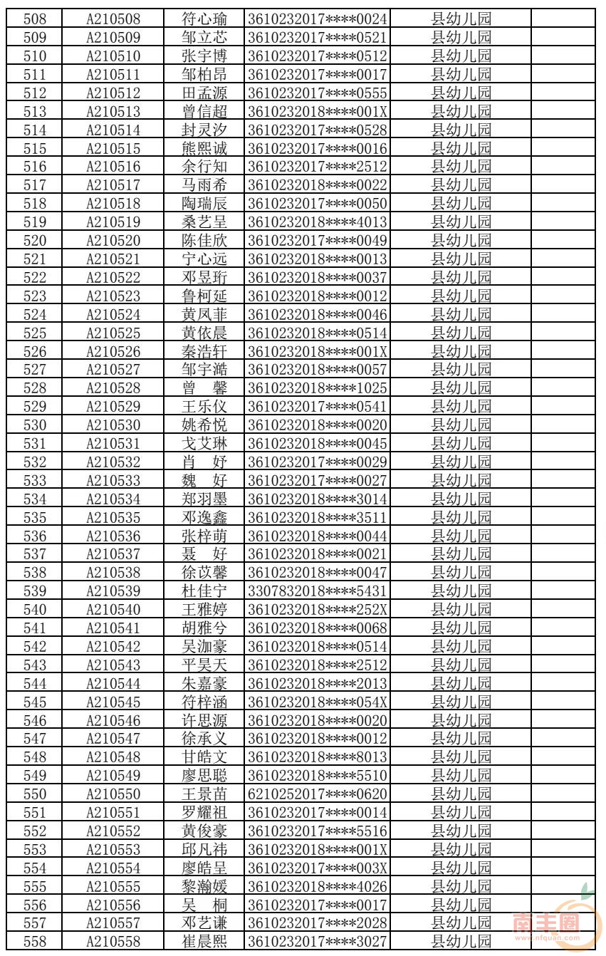
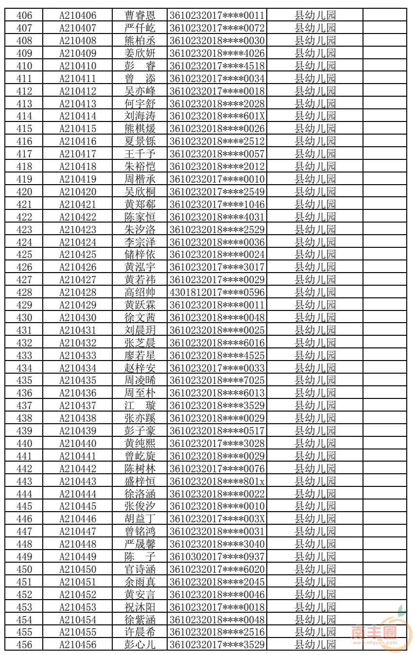
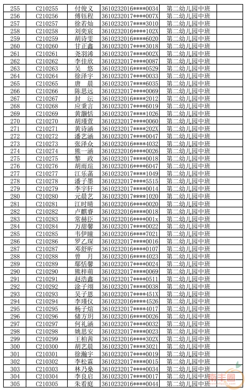
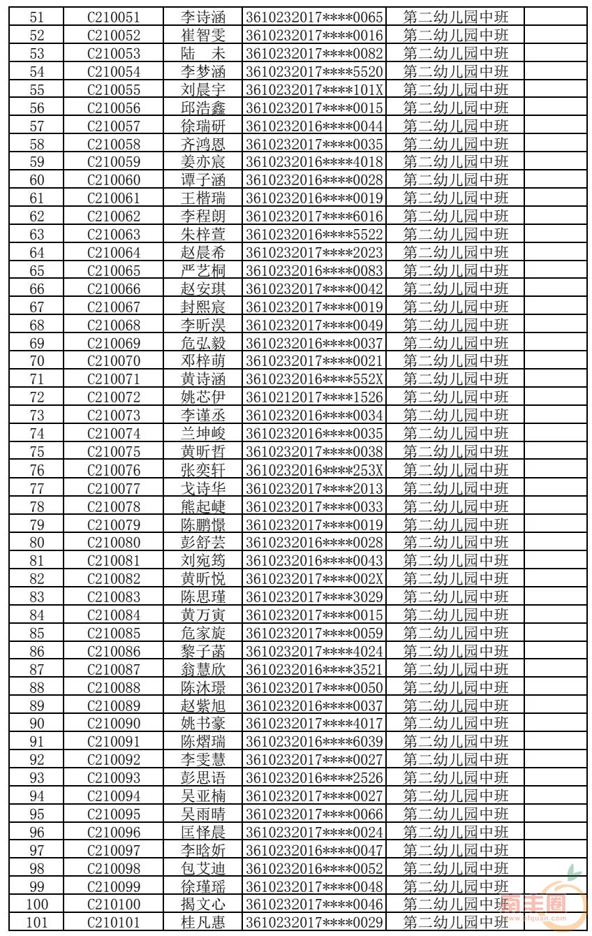
2021年8月17日下午,在县教体局监察室工作人员的监督下,在县电视台、县公证处的见证下,由电脑派位公司现场生成县幼儿园小班、第二幼儿园中班、第三幼儿园小班幼儿电脑派位编号,其中南丰县幼儿园小班759人(不含10个双胞胎),第二幼儿园中班413人(不含2个双胞胎),第三幼儿园小班170人(不含4个双胞胎)。现予以公示: